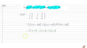
IIT JEE VECTOR ALGEBRA Let ` vec V=2 hat i+ hat j- hat ka n d vec W= hat i+3 hat kdot` If ` vec U...

Tonton & Download Video Musik Gratis

⬇ DOWNLOAD NOW
Kalau muncul iklan pop-up, tutup lalu klik tombol kembali

Download lagu IIT JEE VECTOR ALGEBRA Let ` vec V=2 hat i+ hat j- hat ka n d vec W= hat i+3 hat kdot` If ` vec U... secara gratis hanya untuk keperluan promosi. Dukung artis favorit kamu dengan membeli musik original di iTunes atau platform resmi lainnya.