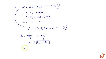
Let A,G,H be the arithmetic, geometric and harmonic means of two positive no. a and b then `Ag

Tonton & Download Video Musik Gratis

⬇ DOWNLOAD NOW
Kalau muncul iklan pop-up, tutup lalu klik tombol kembali

Download lagu Let A,G,H be the arithmetic, geometric and harmonic means of two positive no. a and b then `Ag secara gratis hanya untuk keperluan promosi. Dukung artis favorit kamu dengan membeli musik original di iTunes atau platform resmi lainnya.