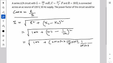
A series LCR circuit with L = 100/π mH C = 10-³/π F and R = 10 ohm is connected | jee mains physics

Tonton & Download Video Musik Gratis

⬇ DOWNLOAD NOW
Kalau muncul iklan pop-up, tutup lalu klik tombol kembali

Download lagu A series LCR circuit with L = 100/π mH C = 10-³/π F and R = 10 ohm is connected | jee mains physics secara gratis hanya untuk keperluan promosi. Dukung artis favorit kamu dengan membeli musik original di iTunes atau platform resmi lainnya.