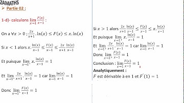
TD16 Ex7 Etude d'une fonction définie par une intégrale

Tonton & Download Video Musik Gratis

⬇ DOWNLOAD NOW
Kalau muncul iklan pop-up, tutup lalu klik tombol kembali

Download lagu TD16 Ex7 Etude d'une fonction définie par une intégrale secara gratis hanya untuk keperluan promosi. Dukung artis favorit kamu dengan membeli musik original di iTunes atau platform resmi lainnya.