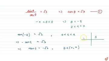
If `sin theta = sqrt3 costheta` where `-pi lt theta lt0` then `theta` is

Tonton & Download Video Musik Gratis

⬇ DOWNLOAD NOW
Kalau muncul iklan pop-up, tutup lalu klik tombol kembali

Download lagu If `sin theta = sqrt3 costheta` where `-pi lt theta lt0` then `theta` is secara gratis hanya untuk keperluan promosi. Dukung artis favorit kamu dengan membeli musik original di iTunes atau platform resmi lainnya.