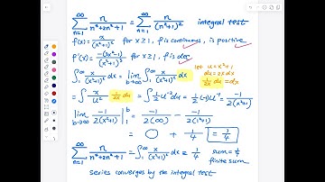
11.3 Part 2/3: Integral Test Examples, Improper Integral & U-Substitution Involved | Integral Calc

Tonton & Download Video Musik Gratis

⬇ DOWNLOAD NOW
Kalau muncul iklan pop-up, tutup lalu klik tombol kembali

Download lagu 11.3 Part 2/3: Integral Test Examples, Improper Integral & U-Substitution Involved | Integral Calc secara gratis hanya untuk keperluan promosi. Dukung artis favorit kamu dengan membeli musik original di iTunes atau platform resmi lainnya.