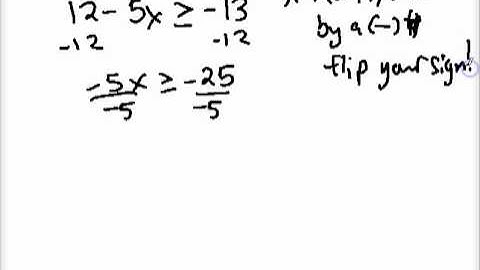
Algebra I - Solving and Graphing Inequalities on a Number Line (U4L5)

Tonton & Download Video Musik Gratis

⬇ DOWNLOAD NOW
Kalau muncul iklan pop-up, tutup lalu klik tombol kembali

Download lagu Algebra I - Solving and Graphing Inequalities on a Number Line (U4L5) secara gratis hanya untuk keperluan promosi. Dukung artis favorit kamu dengan membeli musik original di iTunes atau platform resmi lainnya.