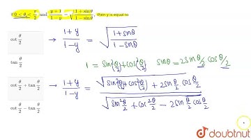
If `-pi lt theta lt -(pi)/(2)," then " |sqrt((1-sin theta)/(1+sintheta))+sqrt((1+sin

Tonton & Download Video Musik Gratis

⬇ DOWNLOAD NOW
Kalau muncul iklan pop-up, tutup lalu klik tombol kembali

Download lagu If `-pi lt theta lt -(pi)/(2)," then " |sqrt((1-sin theta)/(1+sintheta))+sqrt((1+sin secara gratis hanya untuk keperluan promosi. Dukung artis favorit kamu dengan membeli musik original di iTunes atau platform resmi lainnya.