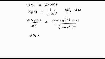
Problem on Z Transforms using linearity and Differentiation in Z Domain Properties

Tonton & Download Video Musik Gratis

⬇ DOWNLOAD NOW
Kalau muncul iklan pop-up, tutup lalu klik tombol kembali

Download lagu Problem on Z Transforms using linearity and Differentiation in Z Domain Properties secara gratis hanya untuk keperluan promosi. Dukung artis favorit kamu dengan membeli musik original di iTunes atau platform resmi lainnya.