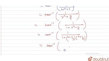
Sum of infinite terms of the series `cot^(-1) ( 1^(2) + 3/4) + cot^(-1) ( 2^(2) + 3/4) + cot^(-1)

Tonton & Download Video Musik Gratis

⬇ DOWNLOAD NOW
Kalau muncul iklan pop-up, tutup lalu klik tombol kembali

Download lagu Sum of infinite terms of the series `cot^(-1) ( 1^(2) + 3/4) + cot^(-1) ( 2^(2) + 3/4) + cot^(-1) secara gratis hanya untuk keperluan promosi. Dukung artis favorit kamu dengan membeli musik original di iTunes atau platform resmi lainnya.