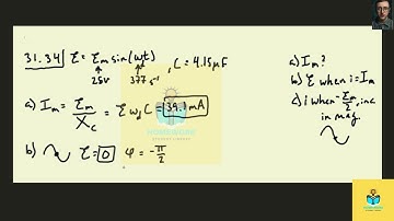
[Physics] An ac generator with emf amplitude and operating at frequency 400 causes oscillations

Tonton & Download Video Musik Gratis

⬇ DOWNLOAD NOW
Kalau muncul iklan pop-up, tutup lalu klik tombol kembali

Download lagu [Physics] An ac generator with emf amplitude and operating at frequency 400 causes oscillations secara gratis hanya untuk keperluan promosi. Dukung artis favorit kamu dengan membeli musik original di iTunes atau platform resmi lainnya.