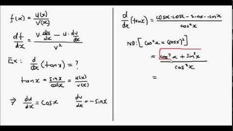
XII Class Sindh Board Derivative of tan(x) by Prof. GUL BAHAR CHAUHAN

Tonton & Download Video Musik Gratis

โฌ‡ DOWNLOAD NOW
Kalau muncul iklan pop-up, tutup lalu klik tombol kembali

Download lagu XII Class Sindh Board Derivative of tan(x) by Prof. GUL BAHAR CHAUHAN secara gratis hanya untuk keperluan promosi. Dukung artis favorit kamu dengan membeli musik original di iTunes atau platform resmi lainnya.