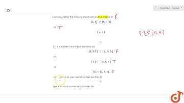
Examine whether the following statements are true or false | {a, b} does not belong to {b,c,a}....

Tonton & Download Video Musik Gratis

โฌ‡ DOWNLOAD NOW
Kalau muncul iklan pop-up, tutup lalu klik tombol kembali

Download lagu Examine whether the following statements are true or false | {a, b} does not belong to {b,c,a}.... secara gratis hanya untuk keperluan promosi. Dukung artis favorit kamu dengan membeli musik original di iTunes atau platform resmi lainnya.