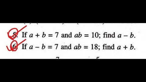
If a + b=7, ab=10, find a² + b²|EASY MATHEMATICS|MATHEMATICS FOR SLOW LEARNERS|PKM ATC MATHEMATICS|

Tonton & Download Video Musik Gratis

⬇ DOWNLOAD NOW
Kalau muncul iklan pop-up, tutup lalu klik tombol kembali

Download lagu If a + b=7, ab=10, find a² + b²|EASY MATHEMATICS|MATHEMATICS FOR SLOW LEARNERS|PKM ATC MATHEMATICS| secara gratis hanya untuk keperluan promosi. Dukung artis favorit kamu dengan membeli musik original di iTunes atau platform resmi lainnya.