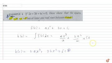
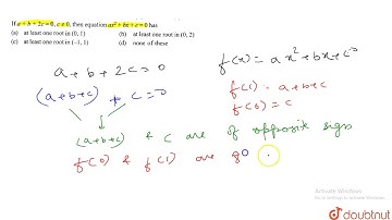
If 2a+3b+6c=0, then at least one root of the equation ax^2+bx+c=0 lies in the interval

Tonton & Download Video Musik Gratis

⬇ DOWNLOAD NOW
Kalau muncul iklan pop-up, tutup lalu klik tombol kembali

Download lagu If 2a+3b+6c=0, then at least one root of the equation ax^2+bx+c=0 lies in the interval secara gratis hanya untuk keperluan promosi. Dukung artis favorit kamu dengan membeli musik original di iTunes atau platform resmi lainnya.