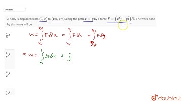
A body is displaced from \((0,0)\) to \((1 m , 1 m )\) along the path \(x=y\) by a force \(F=\le....

Tonton & Download Video Musik Gratis

⬇ DOWNLOAD NOW
Kalau muncul iklan pop-up, tutup lalu klik tombol kembali

Download lagu A body is displaced from \((0,0)\) to \((1 m , 1 m )\) along the path \(x=y\) by a force \(F=\le.... secara gratis hanya untuk keperluan promosi. Dukung artis favorit kamu dengan membeli musik original di iTunes atau platform resmi lainnya.