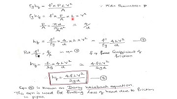
Laminar and Turbulent Flow (Problems on Darcys Weisbach Equation) Lecture 6 By PSS

Tonton & Download Video Musik Gratis

⬇ DOWNLOAD NOW
Kalau muncul iklan pop-up, tutup lalu klik tombol kembali

Download lagu Laminar and Turbulent Flow (Problems on Darcys Weisbach Equation) Lecture 6 By PSS secara gratis hanya untuk keperluan promosi. Dukung artis favorit kamu dengan membeli musik original di iTunes atau platform resmi lainnya.