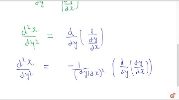
In `(dy)/(dx),x` is a independent variable and `y` is the dependent variable. If independent and...

Tonton & Download Video Musik Gratis

⬇ DOWNLOAD NOW
Kalau muncul iklan pop-up, tutup lalu klik tombol kembali

Download lagu In `(dy)/(dx),x` is a independent variable and `y` is the dependent variable. If independent and... secara gratis hanya untuk keperluan promosi. Dukung artis favorit kamu dengan membeli musik original di iTunes atau platform resmi lainnya.