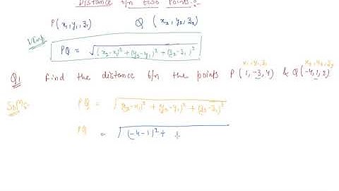
MUST SEE ICSE CLASS 11 MATH l Three Dimensional Geometry l Distance formula for two points L 20

Tonton & Download Video Musik Gratis

⬇ DOWNLOAD NOW
Kalau muncul iklan pop-up, tutup lalu klik tombol kembali

Download lagu MUST SEE ICSE CLASS 11 MATH l Three Dimensional Geometry l Distance formula for two points L 20 secara gratis hanya untuk keperluan promosi. Dukung artis favorit kamu dengan membeli musik original di iTunes atau platform resmi lainnya.