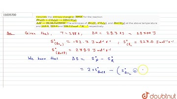
Calculate the entropy change at `298K` for the reaction `Br_(2)(l) +CI_(2)(g) rarr 2BrCI(g)` `De...

Tonton & Download Video Musik Gratis

⬇ DOWNLOAD NOW
Kalau muncul iklan pop-up, tutup lalu klik tombol kembali

Download lagu Calculate the entropy change at `298K` for the reaction `Br_(2)(l) +CI_(2)(g) rarr 2BrCI(g)` `De... secara gratis hanya untuk keperluan promosi. Dukung artis favorit kamu dengan membeli musik original di iTunes atau platform resmi lainnya.