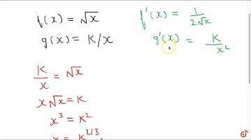
show that the two curves x^2-y^2=r^2 and xy= c^2 where c, r are constant cut orthogonally

Tonton & Download Video Musik Gratis

⬇ DOWNLOAD NOW
Kalau muncul iklan pop-up, tutup lalu klik tombol kembali

Download lagu show that the two curves x^2-y^2=r^2 and xy= c^2 where c, r are constant cut orthogonally secara gratis hanya untuk keperluan promosi. Dukung artis favorit kamu dengan membeli musik original di iTunes atau platform resmi lainnya.