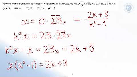
The Hardest/Most Fun AMC 10A Problem (2018 AMC 10A Problem 16)

Tonton & Download Video Musik Gratis

⬇ DOWNLOAD NOW
Kalau muncul iklan pop-up, tutup lalu klik tombol kembali

Download lagu The Hardest/Most Fun AMC 10A Problem (2018 AMC 10A Problem 16) secara gratis hanya untuk keperluan promosi. Dukung artis favorit kamu dengan membeli musik original di iTunes atau platform resmi lainnya.