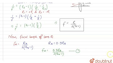
Two symmetric double convex lenses A and B have same focal length, but the radii of curvature dif...

Tonton & Download Video Musik Gratis

⬇ DOWNLOAD NOW
Kalau muncul iklan pop-up, tutup lalu klik tombol kembali

Download lagu Two symmetric double convex lenses A and B have same focal length, but the radii of curvature dif... secara gratis hanya untuk keperluan promosi. Dukung artis favorit kamu dengan membeli musik original di iTunes atau platform resmi lainnya.