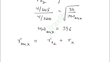
Q35. A vessel of volume 100 mL contains 10% of oxygen and 90% of an unknown gas. The gases diffuse

Tonton & Download Video Musik Gratis

⬇ DOWNLOAD NOW
Kalau muncul iklan pop-up, tutup lalu klik tombol kembali

Download lagu Q35. A vessel of volume 100 mL contains 10% of oxygen and 90% of an unknown gas. The gases diffuse secara gratis hanya untuk keperluan promosi. Dukung artis favorit kamu dengan membeli musik original di iTunes atau platform resmi lainnya.