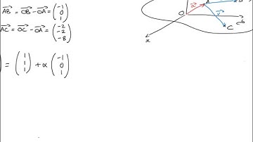
6. Find the Cartesian equation of the line which passes through the point (-2, 4, -5) and

Tonton & Download Video Musik Gratis

⬇ DOWNLOAD NOW
Kalau muncul iklan pop-up, tutup lalu klik tombol kembali

Download lagu 6. Find the Cartesian equation of the line which passes through the point (-2, 4, -5) and secara gratis hanya untuk keperluan promosi. Dukung artis favorit kamu dengan membeli musik original di iTunes atau platform resmi lainnya.