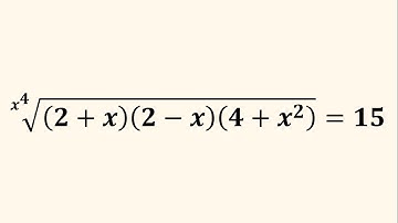
Tricky Radical Equation | How to Find a? ( Don’t Take Common) | International Math Olympiad Question

Tonton & Download Video Musik Gratis

⬇ DOWNLOAD NOW
Kalau muncul iklan pop-up, tutup lalu klik tombol kembali

Download lagu Tricky Radical Equation | How to Find a? ( Don’t Take Common) | International Math Olympiad Question secara gratis hanya untuk keperluan promosi. Dukung artis favorit kamu dengan membeli musik original di iTunes atau platform resmi lainnya.