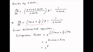
Calculus Help: Integrating Factor - Differential Equations - y'+y cosx = sinx cosx

Tonton & Download Video Musik Gratis

⬇ DOWNLOAD NOW
Kalau muncul iklan pop-up, tutup lalu klik tombol kembali

Download lagu Calculus Help: Integrating Factor - Differential Equations - y'+y cosx = sinx cosx secara gratis hanya untuk keperluan promosi. Dukung artis favorit kamu dengan membeli musik original di iTunes atau platform resmi lainnya.