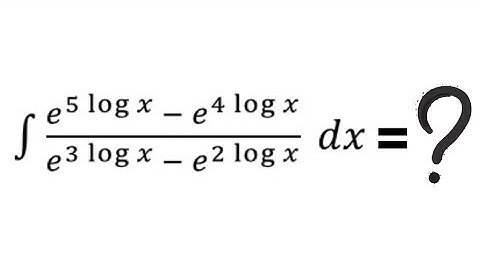
Integrate (e^5log x - e^4log x )/(e^3log x - e^2log x) dx

Tonton & Download Video Musik Gratis

⬇ DOWNLOAD NOW
Kalau muncul iklan pop-up, tutup lalu klik tombol kembali

Download lagu Integrate (e^5log x - e^4log x )/(e^3log x - e^2log x) dx secara gratis hanya untuk keperluan promosi. Dukung artis favorit kamu dengan membeli musik original di iTunes atau platform resmi lainnya.