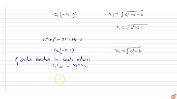
If the circles `x^2+y^2+2a x+c=0a n dx^2+y^2+2b y+c=0` touch each other, then `1/(a^2)+1/(b^2)=...

Tonton & Download Video Musik Gratis

⬇ DOWNLOAD NOW
Kalau muncul iklan pop-up, tutup lalu klik tombol kembali

Download lagu If the circles `x^2+y^2+2a x+c=0a n dx^2+y^2+2b y+c=0` touch each other, then `1/(a^2)+1/(b^2)=... secara gratis hanya untuk keperluan promosi. Dukung artis favorit kamu dengan membeli musik original di iTunes atau platform resmi lainnya.