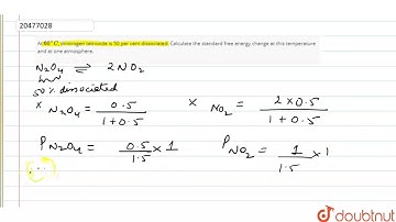
At 60°C, dinitrogen tetroxide is 50 per cent dissociated. Calculate the standard free energy change

Tonton & Download Video Musik Gratis

⬇ DOWNLOAD NOW
Kalau muncul iklan pop-up, tutup lalu klik tombol kembali

Download lagu At 60°C, dinitrogen tetroxide is 50 per cent dissociated. Calculate the standard free energy change secara gratis hanya untuk keperluan promosi. Dukung artis favorit kamu dengan membeli musik original di iTunes atau platform resmi lainnya.