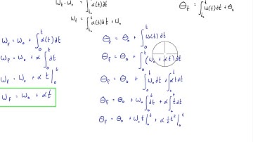
A particle at rest starts moving with a constant angular acceleration of 4 rad/s² in a circular path

Tonton & Download Video Musik Gratis

⬇ DOWNLOAD NOW
Kalau muncul iklan pop-up, tutup lalu klik tombol kembali

Download lagu A particle at rest starts moving with a constant angular acceleration of 4 rad/s² in a circular path secara gratis hanya untuk keperluan promosi. Dukung artis favorit kamu dengan membeli musik original di iTunes atau platform resmi lainnya.