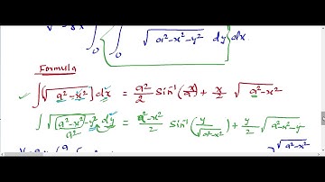
#Triple_Integral_problem_volume_of_the_sphere_x^2+y^2+z^2=a^2

Tonton & Download Video Musik Gratis

⬇ DOWNLOAD NOW
Kalau muncul iklan pop-up, tutup lalu klik tombol kembali

Download lagu #Triple_Integral_problem_volume_of_the_sphere_x^2+y^2+z^2=a^2 secara gratis hanya untuk keperluan promosi. Dukung artis favorit kamu dengan membeli musik original di iTunes atau platform resmi lainnya.