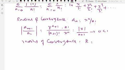
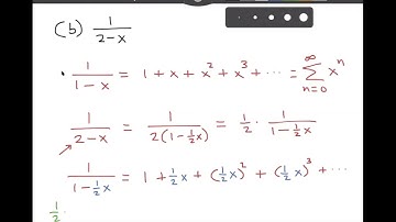
Day - 10 Complex - Power Series - Taylor, Maclaurin Series - Radius Convergence Part - 1

Tonton & Download Video Musik Gratis

⬇ DOWNLOAD NOW
Kalau muncul iklan pop-up, tutup lalu klik tombol kembali

Download lagu Day - 10 Complex - Power Series - Taylor, Maclaurin Series - Radius Convergence Part - 1 secara gratis hanya untuk keperluan promosi. Dukung artis favorit kamu dengan membeli musik original di iTunes atau platform resmi lainnya.