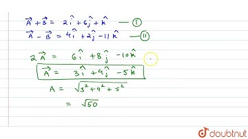
यदि दो सदिशोंvec(A)और vec(B) का योग सदिश (vec(A)+vec(B)) उनके अंतर सदिश(vec(A)-vec(B))के लंबवत ह...

Tonton & Download Video Musik Gratis

⬇ DOWNLOAD NOW
Kalau muncul iklan pop-up, tutup lalu klik tombol kembali

Download lagu यदि दो सदिशोंvec(A)और vec(B) का योग सदिश (vec(A)+vec(B)) उनके अंतर सदिश(vec(A)-vec(B))के लंबवत ह... secara gratis hanya untuk keperluan promosi. Dukung artis favorit kamu dengan membeli musik original di iTunes atau platform resmi lainnya.