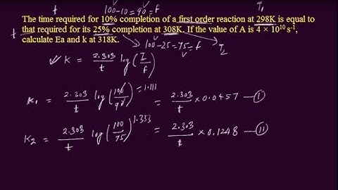
The time required for 10% completion of a first order reaction at 298K is equal to....Calculate Ea

Tonton & Download Video Musik Gratis

⬇ DOWNLOAD NOW
Kalau muncul iklan pop-up, tutup lalu klik tombol kembali

Download lagu The time required for 10% completion of a first order reaction at 298K is equal to....Calculate Ea secara gratis hanya untuk keperluan promosi. Dukung artis favorit kamu dengan membeli musik original di iTunes atau platform resmi lainnya.