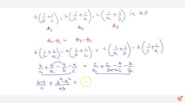
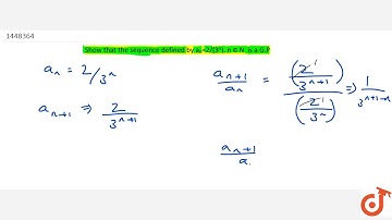
Show that the sequence defined by ltmath gt ltmrow gt ltmsub gt ltmi gta lt/mi gt ltmi

Tonton & Download Video Musik Gratis

⬇ DOWNLOAD NOW
Kalau muncul iklan pop-up, tutup lalu klik tombol kembali

Download lagu Show that the sequence defined by ltmath gt ltmrow gt ltmsub gt ltmi gta lt/mi gt ltmi secara gratis hanya untuk keperluan promosi. Dukung artis favorit kamu dengan membeli musik original di iTunes atau platform resmi lainnya.