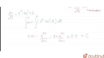
The acceleration of a particle is given by `a=t^3-3t^2+5`, where a is in `ms^-2` and t is in

Tonton & Download Video Musik Gratis

⬇ DOWNLOAD NOW
Kalau muncul iklan pop-up, tutup lalu klik tombol kembali

Download lagu The acceleration of a particle is given by `a=t^3-3t^2+5`, where a is in `ms^-2` and t is in secara gratis hanya untuk keperluan promosi. Dukung artis favorit kamu dengan membeli musik original di iTunes atau platform resmi lainnya.