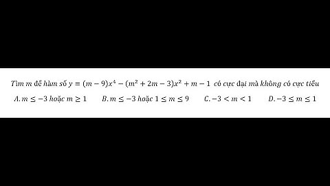
Giá trị của tham số m để hàm số y=-x^3+3mx^2+(m^2-m-11)xđạt cực tiểu tại điểm x=1

Tonton & Download Video Musik Gratis

⬇ DOWNLOAD NOW
Kalau muncul iklan pop-up, tutup lalu klik tombol kembali

Download lagu Giá trị của tham số m để hàm số y=-x^3+3mx^2+(m^2-m-11)xđạt cực tiểu tại điểm x=1 secara gratis hanya untuk keperluan promosi. Dukung artis favorit kamu dengan membeli musik original di iTunes atau platform resmi lainnya.