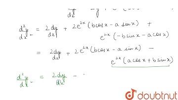
Find differential. eq of family of curves y = e^x (A cos x +B sin x),A and B are arbitrary constants

Tonton & Download Video Musik Gratis

⬇ DOWNLOAD NOW
Kalau muncul iklan pop-up, tutup lalu klik tombol kembali

Download lagu Find differential. eq of family of curves y = e^x (A cos x +B sin x),A and B are arbitrary constants secara gratis hanya untuk keperluan promosi. Dukung artis favorit kamu dengan membeli musik original di iTunes atau platform resmi lainnya.