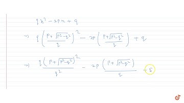
Class 9th Additional Questions X= √p+2q+√p-2q /√p-2q-√p-2q , then show that qx^2-px+q=0

Tonton & Download Video Musik Gratis

⬇ DOWNLOAD NOW
Kalau muncul iklan pop-up, tutup lalu klik tombol kembali

Download lagu Class 9th Additional Questions X= √p+2q+√p-2q /√p-2q-√p-2q , then show that qx^2-px+q=0 secara gratis hanya untuk keperluan promosi. Dukung artis favorit kamu dengan membeli musik original di iTunes atau platform resmi lainnya.