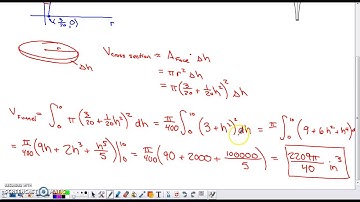
2016 AP Calculus AB Practice Exam Free Response Question #5 (Non Calculator)

Tonton & Download Video Musik Gratis

⬇ DOWNLOAD NOW
Kalau muncul iklan pop-up, tutup lalu klik tombol kembali

Download lagu 2016 AP Calculus AB Practice Exam Free Response Question #5 (Non Calculator) secara gratis hanya untuk keperluan promosi. Dukung artis favorit kamu dengan membeli musik original di iTunes atau platform resmi lainnya.