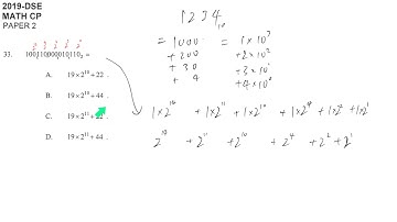
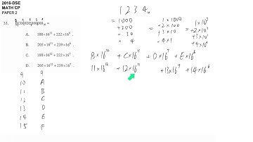
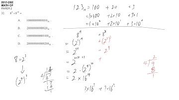
DSE maths core 2015 paper2 #33 binary decimal hexadecimal

Tonton & Download Video Musik Gratis

⬇ DOWNLOAD NOW
Kalau muncul iklan pop-up, tutup lalu klik tombol kembali

Download lagu DSE maths core 2015 paper2 #33 binary decimal hexadecimal secara gratis hanya untuk keperluan promosi. Dukung artis favorit kamu dengan membeli musik original di iTunes atau platform resmi lainnya.