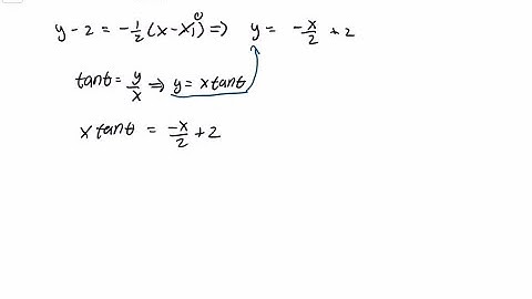
Find a parametrization for the line segment joining points (0,2) and (4,0) using the angle θi…

Tonton & Download Video Musik Gratis

⬇ DOWNLOAD NOW
Kalau muncul iklan pop-up, tutup lalu klik tombol kembali

Download lagu Find a parametrization for the line segment joining points (0,2) and (4,0) using the angle θi… secara gratis hanya untuk keperluan promosi. Dukung artis favorit kamu dengan membeli musik original di iTunes atau platform resmi lainnya.