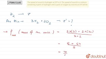
The speed of sound in hydrogen at STP is V. The speed of sound in a mixture containing 3 part

Tonton & Download Video Musik Gratis

⬇ DOWNLOAD NOW
Kalau muncul iklan pop-up, tutup lalu klik tombol kembali

Download lagu The speed of sound in hydrogen at STP is V. The speed of sound in a mixture containing 3 part secara gratis hanya untuk keperluan promosi. Dukung artis favorit kamu dengan membeli musik original di iTunes atau platform resmi lainnya.