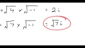
Further Maths Edexcel Core Pure 1 June 2019 qn 1 complex numbers

Tonton & Download Video Musik Gratis

⬇ DOWNLOAD NOW
Kalau muncul iklan pop-up, tutup lalu klik tombol kembali

Download lagu Further Maths Edexcel Core Pure 1 June 2019 qn 1 complex numbers secara gratis hanya untuk keperluan promosi. Dukung artis favorit kamu dengan membeli musik original di iTunes atau platform resmi lainnya.