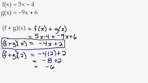
The Concept of Combining Functions Using Addition, Subtraction, Multiplication, or Division

Tonton & Download Video Musik Gratis

⬇ DOWNLOAD NOW
Kalau muncul iklan pop-up, tutup lalu klik tombol kembali

Download lagu The Concept of Combining Functions Using Addition, Subtraction, Multiplication, or Division secara gratis hanya untuk keperluan promosi. Dukung artis favorit kamu dengan membeli musik original di iTunes atau platform resmi lainnya.