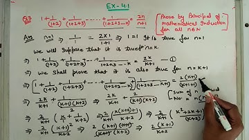
Ex 4.1 Class 11 Math Q3 / Principle of mathematical Induction

Tonton & Download Video Musik Gratis

⬇ DOWNLOAD NOW
Kalau muncul iklan pop-up, tutup lalu klik tombol kembali

Download lagu Ex 4.1 Class 11 Math Q3 / Principle of mathematical Induction secara gratis hanya untuk keperluan promosi. Dukung artis favorit kamu dengan membeli musik original di iTunes atau platform resmi lainnya.