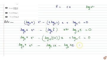
If a, b,c are in GP, where a,c are positive, then the equation `ax^2 + bx + c = 0` has (a) rea...

Tonton & Download Video Musik Gratis

⬇ DOWNLOAD NOW
Kalau muncul iklan pop-up, tutup lalu klik tombol kembali

Download lagu If a, b,c are in GP, where a,c are positive, then the equation `ax^2 + bx + c = 0` has (a) rea... secara gratis hanya untuk keperluan promosi. Dukung artis favorit kamu dengan membeli musik original di iTunes atau platform resmi lainnya.