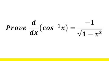
Derivative of inverse cosine, implicit differentiation with arccos(x) + derivative of arccos(pi*x).

Tonton & Download Video Musik Gratis

⬇ DOWNLOAD NOW
Kalau muncul iklan pop-up, tutup lalu klik tombol kembali

Download lagu Derivative of inverse cosine, implicit differentiation with arccos(x) + derivative of arccos(pi*x). secara gratis hanya untuk keperluan promosi. Dukung artis favorit kamu dengan membeli musik original di iTunes atau platform resmi lainnya.