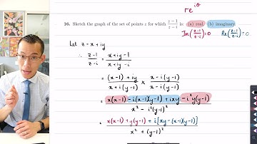
Sketching (z-1)÷(z-i) (2 of 2: When it's imaginary)

Tonton & Download Video Musik Gratis

⬇ DOWNLOAD NOW
Kalau muncul iklan pop-up, tutup lalu klik tombol kembali

Download lagu Sketching (z-1)÷(z-i) (2 of 2: When it's imaginary) secara gratis hanya untuk keperluan promosi. Dukung artis favorit kamu dengan membeli musik original di iTunes atau platform resmi lainnya.